Elternratgeber
Praktische Tipps für Eltern.
Sie befinden sich hier: Gute Noten in ... » MATHE » Klasse 8 » Wurzeln, quadratische Gleichungen und Funktionen
Wurzeln, quadratische Gleichungen und Funktionen
Übung
Ordne der Größe nach. Beginne mit der kleinsten Zahl.
- √25
- 7
- √100
- √144
- (√15)²
- (√9)³
- √900
Das war nicht ganz richtig.
Versuch es noch einmal!
Versuch es noch einmal!
Alles richtig! Wunderbar!
Übung
Vereinfache so weit wie möglich. Wähle das richitge Ergebnis aus.
2√16 + √5 + 3√16 + 2√5 • 3√5 =
Das war nicht ganz richtig.
Versuch es noch einmal!
Versuch es noch einmal!
Alles richtig! Wunderbar!
Übung
Welches ist das Ergebnis der folgenden quadratischen Gleichung? Setze an die richtigen Aussagen einen Haken. Klicke dazu in das Kästchen vor der richtigen Antwort.
3x² - 9 = 3
x = 3
│x│= 2
x = 2
Das war nicht ganz richtig.
Versuch es noch einmal!
Versuch es noch einmal!
Alles richtig! Wunderbar!
Übung
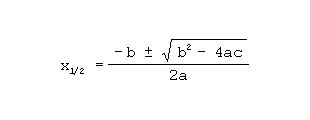
ax²+ bx + c = 0
Löse nach x auf und benutze dabei die abc-Formel. Setze an die richtige Aussage einen Haken. Klicke dazu in das Kästchen vor der richtigen Antwort.


Das war nicht ganz richtig.
Versuch es noch einmal!
Versuch es noch einmal!
Alles richtig! Wunderbar!



